Transformador monofasico ideal

El transformador monofásico es una máquina eléctrica constituida por dos circuitos eléctricos (devanados o arrollamientos) acoplados magnéticamente a través de un núcleo ferromagnético. Uno de los circuitos eléctricos, devanado primario, se conecta a la fuente de alimentación, mientras que el otro, devanado secundario. se conecta a la carga eléctrica a alimentar (Figura 1). El número de espiras del devanado primario es N1 y el del secundario es N2.

Partes basicas de un transformador monofasico

TRANSFORMADOR MONOFÁSICO IDEAL (analisis)

En el análisis del transformador ideal se establecen los siguientes supuestos:

  • Los devanados carecen de resistencia eléctrica.
  • La permeabilidad magnética del núcleo se considera infinita, de forma que la reluctancia magnética es cero y, por tanto, no existe dispersión de flujo.
  • El núcleo carece de pérdidas por histéresis y por corrientes de Foucault.

Funcionamiento en vacío del Transformador monofasico ideal

Si se aplica la tensión alterna senoidal al devanado primario de un transformador (Figura 2), según la Ley de Inducción de Faraday aparecerá un flujo en el núcleo cuyo valor, para las referencias adoptadas, es el siguiente:

Flujo en el nucleo de un transformador monofasico

Por tanto, el valor eficaz de la f.e.m. (fuerza electromotriz) inducida en el devanado primario es:

Fuerza electromotriz en el devanado primario transformador monofasico
transformador monofasico ideal en vacio


De igual forma, en el devanado secundario se inducirá una f.e.m. cuyo valor se calcula como sigue:

Fuerza electromotriz en el devanado secundario transformador monofasico

siendo su valor eficaz:

Fuerza electromotriz eficaz en el devanado secundario transformador monofasico

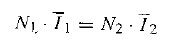
Comparando la f.e.m. primaria y la secundaria se obtiene la relación de transformación, que en el caso de transformadores monofásicos coincide con la relación de espiras:

relacion de transformacion de un transformador monofasico

Además, E1 y E2 están en fase.

Supongamos que los hace girar (también llamados rizos) que proporciona una fuente eléctrica giratoria. La corriente de intercambio a través del devanado produce una transición en constante cambio y rotación que abarca el devanado.

En el caso de que se lleve otro devanado cerca de esta torsión, algún segmento de este movimiento de sustitución interactuará con el devanado posterior. Como esta transición cambia constantemente en su abundancia y curso, debe haber un enlace de movimiento cambiante en el enrollamiento o rizo posterior.

Según la ley de alistamiento electromagnético de Faraday, habrá un EMF en el devanado posterior. En el caso de que el circuito de este devanado auxiliar esté cerrado, en ese punto una corriente pasará a través de él. Esta es la regla de trabajo esencial de un transformador.

Funcionamiento en carga del Transformador monofasico ideal

Si, en las condiciones del apartado anterior, se conecta una impedancia en el devanado secundario del transformador (Figura 3), por dicho devanado circulará una corriente I2. La pauta de trabajo de un transformador es sencilla. La aceptación compartida entre al menos dos devanados (también llamados bucles) tiene en cuenta la vitalidad eléctrica que se debe mover entre los circuitos. Este estándar se aclara con más detalle debajo.

transformador monofasico ideal en carga

A su vez, esta corriente provocará la circulación de otra corriente I1 por el devanado primario con objeto de que el flujo en el núcleo permanezca constante. Esto se puede comprobar aplicando la Ley de Hopkinson al circuito magnético en la situación de vacío (con el devanado secundario en circuito abierto) y en la situación de carga (con el devanado secundario alimentando una carga):

  • En vacío, como la reluctancia se ha considerado nula, la intensidad que circula por el devanado primario es nula.
  • En carga se tiene lo siguiente:
transformador monofasico ideal en carga 1

y como la reluctancia es nula (R ~ 0),

transformador monofasico ideal en carga 2

lo que implica que:

relacion de transformacion de un transformador monofasico en carga

En consecuencia, cuando el transformador se encuentra en carga, por el devanado primario circula una intensidad I1 que contrarresta el efecto de la intensidad I2 para que el flujo en el núcleo permanezca constante. Además, I1 e I2 están en fase.

Como no se consideran las pérdidas en el transformador ideal, la potencia absorbida por el primario de la fuente se cede íntegramente por el devanado secundario a la carga.

Conexión triangulo estrella en transformadores trifásicos

A continuación podrás ver cómo se realiza la conexión triangulo estrella en transformadores trifásicos. Lo primero que tenemos que realizar es un esquema de la conexión partiendo de tres transformadores monofásicos y ver cómo es la conexión en el primario. 

esquema transformador trifasico


En este caso estamos hablando de triángulo o delta en el primario y estrella en el secundario. Primero tenemos la conexión en triángulo como aparece en la imagen de abajo:

esquema conexion triangulo


Una vez que tenemos dibujado el esquema en triángulo lo que hacemos es numerar las tres bobinas con números consecutivos por cada uno de los extremos de dichas bobinas y en el sentido de las agujas del reloj. De esta forma tendremos el siguiente esquema:

esquema conexion triangulo con las bobinas numeradas

Ahora repetimos esta numeración en el esquema de los tres transformadores monofasicos y realizamos las conexiones como viene arriba, es decir 1-6, 2-4, 3-5, quedando de la siguiente forma:

esquema transformador trifasico con numeracion de las bobinas


Ahora realizamos el esquema del secundario con la conexión en estrella y numeramos las bobinas también en el sentido de las agujas del reloj:

esquema conexion estrella con las bobinas numeradas

Una vez que tenemos esto realizamos el conexionado como hemos hecho anteriormente en los tres transformadores monofásicos uniendo los extremos de las bobinas con las líneas, extremo 1 a L2, extremo 3 a L1 y extremo 2 a L3, y los extremos 4,5 y 6 al terminal neutro, quedando la conexión de los transformadores de la siguiente forma:

esquema transformador trifasico con numeracion de las bobinas y conexion a lineas


Lo interesante de todo esto es conocer las relaciones de voltaje. Nosotros sabemos que en la conexión en triángulo o delta el voltaje de línea es igual al voltaje de fase. Pero en la conexión de estrella el voltaje de línea es raíz de tres por el voltaje de fase:

relacion de voltaje en esquema conexion triangulo y estrella

Por lo tanto la relación de voltaje de línea del primario con respecto al voltaje de línea del secundario será:

relacion de voltaje de linea en transformador trifasico

Si quieres ver el ejemplo de aplicación de un transformador trifásico con conexión triángulo estrella lo verás a continuación en el siguiente vídeo a partir del minuto indicado 7:56:



Cómo calcular la corriente primaria de un transformador 

Al conectar el transformador a la fuente de alimentación, debe calcular la corriente que fluirá a través del lado primario. Por lo tanto, el transformador que queremos calcular debe estar conectado a una derivación térmica o llave con un rango de corriente igual o mayor para que la derivación térmica no pueda funcionar por debajo del funcionamiento normal del transformador. La corriente depende de dos factores: el voltaje de la fuente de alimentación a la que conecta el transformador y la potencia (vatios) que consumirá. Ambos factores son parte del diseño del transformador. 

Primer paso

Encuentre el rango de voltaje del transformador a conectar. Si está conectado a un circuito doméstico, será de 120 o 240 voltios. Verifique las especificaciones para asegurarse de tener un transformador adecuado para su proyecto.

Segundo paso

Encuentre el rango de potencia del transformador. Encuentra la hoja de especificaciones.

Tercer paso

Divide el poder por el voltaje. Por ejemplo, si tiene un transformador de 300 vatios y lo conecta a una toma de corriente estándar de 120 voltios, divida 300 por 120. El transformador consumirá 2.5 amperios. La mayoría de las tomas de pared tienen una tecla de acceso rápido de 15 amperios, por lo que este transformador en particular no consumirá suficiente corriente para convertirse en un problema.

Cuarto paso

Todos los transformadores usan la misma fórmula. Si por alguna razón usted va a necesitar usar un transformador más largo para operar el dispositivo, mantenga la potencia dividida por el voltaje para encontrar la corriente. Para un transformador principal de 120 voltios y 2000 vatios, divida 2000 entre 120 para obtener la corriente (2000 vatios / 120 voltios = 16,67 amperios). Para un transformador de 240 voltios, 3000 vatios, la corriente es de 12.5 amperios.


Cómo calcular los valores de la potencia de un transformador

El transformador es la columna vertebral del sistema de distribución de energía. La potencia nominal se refiere a la potencia distribuida en relación con la potencia que el transformador puede entregar a la carga. Para calcular la potencia, debe conocer el voltaje de la fuente de alimentación y la corriente suministrada a la carga. Obtenga el voltaje de la fuente de alimentación de las especificaciones de voltaje asociadas con los devanados primario y secundario. Luego aplique un voltaje y mida la corriente que fluye a través de la carga.

Primer paso

Encuentre el voltaje primario y secundario del transformador en la referencia de especificación del transformador. Por ejemplo, suponga que el primario es de 480 voltios y el secundario es de 208 voltios.

Segundo paso

Apague el sistema. Use guantes de seguridad cuando esté encendido y siga las precauciones normales.

Tercer paso

Conecte el lado secundario del transformador a la carga eléctrica. Conecte un amperímetro en paralelo entre el lado secundario del transformador y la carga. Conecte la fuente de alimentación al lado primario del transformador. Asegúrese de que la fuente de alimentación pueda proporcionar el voltaje requerido del devanado primario del transformador. Usando el número de ejemplo, se asegurará de que la fuente de alimentación pueda proporcionar los 480 voltios requeridos por el devanado primario.

Cuarto paso

Conecte la fuente de alimentación al devanado primario del transformador. Observe y registre el amperaje registrado en el amperímetro. Llame a este valor "I" y dé un ejemplo de que equivale a 65 amperios.

Quinto paso

Use la fórmula "VAvalue = (Vsecondary x I) / 0.8" para calcular el valor de potencia, donde Vsecondary es el voltaje secundario del transformador, y el valor de 0.8 es el factor de potencia de la carga. Continuando con el ejemplo: VAvalores = (208 x 65) /0.8 = 16.900 VA, o 16.9 VA, o 16.9 KVA.


Convertidor de un transformador monofásico a uno trifásico

La fuente de alimentación trifásica es un dispositivo eléctrico de 220 voltios que puede funcionar con equipos pesados ​​y algunas unidades de calentamiento de aire. Aunque algunas computadoras funcionan con energía monofásica, la capacidad de "caballos de fuerza" se ha reducido. Si falta energía trifásica en un edificio u otra ubicación, se puede proporcionar un convertidor trifásico para proporcionar la energía necesaria.


220 voltios

Para instalar el dispositivo, debe instalarse una fuente de alimentación de 220 voltios con el amperaje recomendado (generalmente de 30 a 50 amperios) antes de poder instalar el convertidor. Si no hay una salida de 220 voltios, comience con el cableado requerido para ese nivel de voltaje. Encuentre el circuito disponible en la caja de fusibles, luego instale un interruptor de 220 voltios (que generalmente requiere dos cables monofásicos del interruptor principal) y conecte el cableado apropiado para que pase a través de la tubería y entre en el espacio correcto.

Instale una caja de conexiones bifásica de 220 voltios para conectar el cable de alimentación al convertidor. La caja de conexiones debe instalarse en la pared y lo suficientemente cerca del convertidor para evitar el uso de cables demasiado largos, y los cables también deben pasar a través de la pared o las tuberías.


Convertidor trifásico.

El convertidor es un dispositivo del tamaño de un enfriador de agua de 10 galones. Todas las fuentes de alimentación hacia y desde el convertidor deben estar cableadas, lo que indica que no hay una toma de corriente. El convertidor trifásico tiene un esquema de cableado que puede conectar correctamente los cables neutros negro, rojo, azul y blanco en la caja de conexiones. Use cables duros para hacer todas las conexiones de acuerdo con los códigos eléctricos y de construcción.


Conexión del dispositivo

Si la computadora tiene un enchufe de alimentación, desenchúfelo y use el cable dentro del cable de alimentación. Debido a que hay una caja de conexiones para conectar equipos, puede acceder a la conexión y usar el diagrama de cableado para conectar la máquina nuevamente. Si la máquina se importa de Europa o Asia, el color del cable puede ser diferente.

El estándar para la energía trifásica en Europa es la codificación de color neutral para marrón, negro, gris y azul, mientras que Asia usa amarillo, verde, rojo y azul claro para neutral.

Es importante conectar el dispositivo al convertidor correctamente, porque al combinar los cables, puede obtener un efecto muy obvio y hacer que el dispositivo funcione en reversa. Aunque esto no es un problema para algunos equipos, para compresores y prensas, esto puede causarles graves daños. Conecte los cables en el orden correcto y luego vuelva a abrir el convertidor desde el disyuntor. El convertidor solo puede funcionar después de conectar el dispositivo, por lo que no es necesario interrumpir la corriente de la caja del interruptor cada vez que el convertidor no funciona.

Cómo determinar el tamaño del transformador monofasico requerido para servicios basados ​​en voltaje

El tamaño del transformador depende de los requisitos de potencia de la carga eléctrica. La carga eléctrica requiere energía en vatios, y el transformador debe soportar los kilovoltios-amperios o "KVA" necesarios para transferir los vatios a la carga. La lectura de KVA indica la unidad de potencia provista por la compañía eléctrica para el transformador. Por lo tanto, el tamaño del transformador se mide en KVA.

Primer paso

Determine el voltaje de entrada o "Vin" requerido por el servicio o la carga eléctrica. Por ejemplo, supongamos que Vin tiene 120 voltios.

Segundo paso

Encuentre o mida la impedancia de entrada de la carga. Este valor se llama "Z". Por ejemplo, suponga que Z = 30 ohmios.

Tercer paso

Use la fórmula I = V / Z para calcular la demanda actual o "I" asociada con el servicio. Continúa el ejemplo:

I = 120/30 = 4 amperios

Cuarto paso

Use la fórmula KW = (V x I) / 1000 para calcular la potencia en kilovatios requerida para el servicio. Continúa el ejemplo:

KW = (120 x 4) / 1000 = 480/1000 = 0.48 vatios

Quinto paso

Use la fórmula = KW / 0.8 KVA para calcular los kilovoltios de amperios o "KVA" necesarios para proporcionar KW a la carga. Continúa el ejemplo:

KVA = 0.48 / 0.8 = 0.6 KVA

Sexto paso

Elija el transformador que pueda soportar KVA desde el paso 4. Por ejemplo, el tamaño del transformador es un tamaño estándar, como 1 KVA, 5 KVA, 10 KVA, 15 KVA, etc. En este ejemplo, se utilizará un transformador de 1 KVA.

¿Cómo funciona un convertidor de fase?

Un convertidor de fase es un dispositivo que puede convertir una corriente monofásica (corriente sincronizada por el voltaje de todas las fuentes de alimentación) en energía eléctrica multifásica. La conversión de fase más común es monofásica a trifásica, en la cual la corriente provista por tres conductores diferentes alcanza el valor pico en secuencia, y cada corriente representa aproximadamente 1/3 del período completo, seguido de otro. Hay tres tipos principales de convertidores de fase: 

a) Los convertidores digitales

b) Los convertidores rotativos

c) Los convertidores estáticos.


Hablemos del funcionamiento de los convertidores de fase


Los tres tipos principales de convertidores de fase generan 1/3 del voltaje, a excepción de los dos voltajes presentes en los servicios de energía monofásicos, cada uno se implementa de manera diferente.


El convertidor de fase rotativo utiliza un motor trifásico y un conjunto de condensadores, que funcionan juntos como un condensador grande. La fuente de alimentación monofásica está conectada a dos de los tres cables del motor. Ahora vamos a fijarmos detenidamente en el tercer cable del motor que estamos tratando el cual está conectado a una y solo una de las únicas salidas monofásicas en serie con el banco de condensadores cercano, y el cable de salida del convertidor está conectado a los tres terminales del motor. De esta manera, el convertidor de fase giratorio generará 1/3 de la potencia y, al mismo tiempo, se combinará con las otras dos corrientes de la potencia monofásica.


Pero alto, hay que comentar que cuando el componente principal receptor de energía se pone en pleno funcionamiento, el convertidor de fase estático que estamos tratando solo genera una corriente trifásica complementaria o similar a la corriente de la fuente de alimentación monofásica, y no se puede utilizar o no se debe usar para la demanda de energía trifásica a largo plazo.


El convertidor digital es el tipo más moderno de convertidor de fase. Es muy diferente de otros convertidores. Es completamente electrónico. Genera un tercer voltaje a través de un proceso llamado doble conversión de IGBT, en el que la corriente alterna de una fuente de energía monofásica se convierte en corriente continua y luego vuelve a la corriente alterna. Mediante el uso del procesador de señal digital se puede monitorear continuamente las tres corrientes sin descanso.


Importancia del convertidor de fase

Aunque la energía monofásica es suficiente para satisfacer las necesidades de muchas áreas rurales, cuando la demanda eléctrica se limita a la calefacción y la iluminación, en lugar de alimentar motores grandes, la energía trifásica es adecuada para grandes edificios de oficinas, fábricas, grandes centros comerciales y áreas residenciales urbanas.

La energía trifásica no está disponible en muchos lugares porque requiere que las compañías proveedoras instalen transformadores de mayor voltaje, paneles de servicio de respaldo y cables especiales. Al proporcionar este servicio, el precio suele ser más alto.

Los convertidores de fase son muy importantes ya que proporcionan una fuente de corriente trifásica para muchas de las personas que viven en áreas o zonas donde solo se proporciona servicio monofásico y no pueden disponer de trifásico, para alimentar motores grandes como maquinaria agrícola o industrial.


¿Cómo funcionan los transformadores de voltaje?


No importa lo que hagas, alguien en cierto lugar debe tomar medidas. En el mundo de la energía, la medición típica es la medición de voltaje. Los voltímetros generalmente miden voltajes en el rango de hasta cientos de voltios. En la industria energética, la transmisión de electricidad se produce a miles de voltios. Esto destruirá casi todos los voltímetros comunes. Entonces, ¿cómo miden los técnicos el alto voltaje que encuentran todos los días? El truco es usar un transformador potencial.

Tareas de medición de voltaje

El principio de funcionamiento del transformador de voltaje es el mismo que el de otros transformadores. Convierta el voltaje de mayor a menor. El sistema de transmisión de energía resistirá miles de voltios y reducirá el voltaje a un nivel que el medidor pueda manejar. Estos transformadores son adecuados para sistemas monofásicos y trifásicos, y están conectados en puntos convenientes para medir el voltaje.

¿Qué proporciona un transformador de voltaje?


La característica principal de los transformadores de voltaje que son superiores a los transformadores convencionales es que la conversión de voltaje es constante y lineal. Es decir, 50,000 voltios se convierten en 50 voltios en el primer día de operación, y luego 50,000 voltios se convierten en 50 voltios en el último día de operación. La linealidad indica que cuando el voltaje cae linealmente, la caída de voltaje disminuirá en consecuencia. Los transformadores de voltaje facilitan la medición de voltajes muy altos.

¿Por qué explota el transformador?


Un transformador es un mecanismo eléctrico o dispositivo eléctrico diseñado y pensado para transferir energía eléctrica de un circuito a otro, lo cual lo convierte en un elemento clave en los sistemas eléctricos. Esto se logra al aumentar el voltaje cuando el cable se transmite a larga distancia. El cable tiene una cierta resistencia. Cuando se transmite energía a través del cable, se pierde algo de energía. La cantidad de energía que se pierde depende de la longitud en metros del recorrido del cable que se usa. Desde la energía que se transfiere a las subestaciones de otras personas o industrias, la energía sobre todo se transmite de manera inversamente proporcional a una corriente relativamente baja a través del conjunto del transformador de alto voltaje. Esto evita la pérdida de energía a largas distancias, aunque para usar energía en el hogar, otro transformador debe convertir la energía de nuevo a alto voltaje y formas de alta corriente. Es por esto que se observan muchos transformadores en líneas eléctricas en áreas residenciales y comerciales.

¿Qué es un transformador?


Un transformador es un mecanismo o dispositivo diseñado para transferir energía eléctrica de un circuito a otro. Esto se logra al aumentar el voltaje cuando el cable se transmite a larga distancia. El cable tiene una cierta resistencia. Cuando se transmite energía a través del cable, se pierde algo de energía. La cantidad de energía perdida depende de la longitud del recorrido del cable. Desde la energía transferida a las subestaciones de otras personas, la energía se transmite de manera inversa a una corriente baja a través del transformador de alto voltaje. Esto evita la pérdida de energía a largas distancias, aunque para usar energía en el hogar, otro transformador debe convertir la energía de nuevo a alto voltaje y formas de alta corriente. Es por esto que se observan muchos transformadores en líneas eléctricas en áreas residenciales y comerciales. Un transformador se caracteriza como un dispositivo eléctrico inactivo que mueve la vitalidad eléctrica comenzando con un circuito y luego al siguiente a través del procedimiento de aceptación electromagnética. Normalmente se usa para expandir ('subir') o disminuir ('bajar') los niveles de voltaje entre los circuitos.

¿Por qué explota el transformador?

Cuando la línea principal de alimentación que va directamente al transformador transmite de una manera drástica y repentinamente demasiada energía eléctrica, de modo que hará que el circuito interno del transformador puede procesarla, y seguramente el transformador explotará. La forma más común de ocurrencia es durante un rayo. Después de recolectar una gran cantidad de energía eléctrica, la energía se cortará automáticamente dentro del transformador. Se apagan después de alcanzar seis milésimas de segundo a máxima potencia. Desafortunadamente, esto es cinco veces más lento. El exceso de energía calentará y derretirá el circuito. El circuito se hace resistente al calor y se mantiene a baja temperatura con unos pocos litros de aceite mineral refinado contenido en una cámara cerrada. A pesar de esto, y de otras muchas más cosas importantes, el circuito enciende la lámpara incandescente en rojo o en otro color indicado en el manual del transformador y la deja caer en forma de destello, haciendo que el aceite mineral se sobrecaliente y se incendie. El aceite mineral se quema hasta que explota, provocando una fuerte explosión y disparando una ametralladora de metal, que es la guadaña del transformador.

¿Cómo prevenir la explosión?

La razón principal de la explosión del transformador es la falta de disposiciones sobre medidas de seguridad en uso y construcción. Siempre y cuando hagan su trabajo correctamente en circunstancias normales, no existe una ley que pueda obligar a las empresas a cambiar la forma en que fabrican transformadores. Están construidos con partes inferiores y utilizan medidas de seguridad antiguas porque es más económico hacerlo. Si la compañía eléctrica que trabaja en la zona como suministradora de energía desea mejorar la seguridad del transformador, puede usar sensores que puedan reaccionar de manera oportuna cerrando el circuito del transformador para evitar un sobrecalentamiento catastrófico. Además, dado que la combustión de aceite mineral es el problema principal, se puede diseñar un refrigerante de llama más resistente.

Piezas y construcción de transformadores


Las tres partes principales de un transformador:

  • Bobinado esencial del transformador
  • Núcleo atractivo de transformador
  • Bobinado auxiliar del transformador
Bobinado esencial del transformador

Lo que produce una transición atractiva cuando se asocia con una fuente eléctrica. 

Núcleo atractivo de transformador

La transición atractiva entregada por el devanado esencial, que pasará por esta forma de baja vacilación conectada con el devanado opcional y hará un circuito atractivo cerrado.

Bobinado auxiliar u opcional del transformador

El movimiento, entregado por la torsión esencial, atraviesa el centro, interactuará con el devanado auxiliar. Esta torsión también hiere en un centro similar y proporciona el rendimiento ideal del transformador.


¿Cuáles son los diferentes Tipos de transformadores?


En la industria existen muchos tipos de transformadores según lo que se necesite. Podemos necesitar un transformador de aislamiento para proteger un equipo, o bien podemos necesitar un transformador de distribución, o bien un transformador de corriente o un transformador convertidor. En fin, vamos a ver los diferentes tipos de transformadores de forma breve cada uno de ellos con unas cuantas descripciones y características.

Transformador de potencia.

Los transformadores de potencia se utilizan en redes de transmisión de alto voltaje. Las clasificaciones de los transformadores de potencia son las siguientes: 400 KV, 200 KV, 110 KV, 66 KV, 33 KV. Se clasifican principalmente por encima de 200 MVA. Principalmente instalado en centrales eléctricas y subestaciones de transmisión de energía. Su máxima eficiencia es del 100%. En comparación con los transformadores de distribución, son de mayor tamaño.

A voltajes muy altos, la potencia no se puede asignar directamente a los usuarios, por lo que los transformadores de reducción de potencia se utilizan para reducir la potencia al nivel requerido. El transformador no está completamente cargado, por lo que la pérdida de núcleo se produce durante todo el día, pero la pérdida de cobre se basa en el ciclo de carga de la red de distribución.

Si el transformador de potencia está conectado a la red de transmisión, la fluctuación de la carga será mucho menor porque no están conectados directamente a los usuarios, pero si está conectada a la red de distribución, habrá fluctuaciones en la carga.

Transformador de distribución.


Este tipo de transformador tiene valores nominales más bajos, como 11 KV, 6.6 KV, 3.3 KV, 440 V y 230V. Su capacidad nominal es inferior a 200 MVA y se utiliza en redes de distribución de energía para proporcionar conversión de voltaje en el sistema. La reducción de energía reduce el nivel de voltaje en el que la energía eléctrica se distribuye y utiliza entre los usuarios finales.

La bobina primaria del transformador de distribución está enrollada con alambre de cobre o aluminio esmaltado. Las tiras de aluminio y cobre más gruesas se utilizan para transformadores auxiliares, que son bobinados de alta corriente y bajo voltaje. El papel y el aceite impregnados en resina se utilizan para aislamiento.

El aceite en el transformador se usa para:

  • Enfriarse.
  • Aislar el devanado.
  • A prueba de humedad.

Los diversos tipos de transformadores de distribución se clasifican de la siguiente manera, de la siguiente manera:

  • Ubicación de la instalación.
  • Tipo de aislamiento.
  • La naturaleza de la oferta.

Los transformadores de distribución de menos de 33 KV se usan en la industria, mientras que 440 y 220 V se usan en los hogares. Es más pequeño, fácil de instalar y tiene baja pérdida magnética, y no siempre está completamente cargado.

Dado que no puede realizar una carga constante dentro de las 24 horas, debido a que la carga durante el día está en su punto más alto y hay poca carga por la noche, la eficiencia depende del ciclo de carga y se calcula como la eficiencia durante todo el día. La eficiencia máxima de un transformador de distribución es del 60% al 70%.

El uso de transformadores de distribución.

Se utiliza en estaciones de bombeo con niveles de voltaje inferiores a 33 KV.

Fuente de alimentación para cables aéreos de CA electrificados.

En las zonas urbanas, muchas casas funcionan con transformadores de distribución monofásicos, mientras que en las áreas rurales, dependiendo de la carga, las casas pueden necesitar un transformador.
Los transformadores de distribución múltiple se utilizan en campos industriales y comerciales.

Utilizado en parques eólicos que generan energía eléctrica a partir de molinos de viento. Allí, se usa como un colector de corriente para conectar subestaciones lejos del sistema de generación de energía eólica.

Transformador de instrumento.

A menudo se les llama transformadores de aislamiento. Los transformadores son equipos eléctricos utilizados para convertir los niveles de corriente y voltaje. El uso más común de un transformador es aislar de forma segura el devanado secundario cuando el lado primario tiene un alto voltaje y una fuente de corriente alta, para que el instrumento de medición, el medidor de potencia o el relé conectado al lado secundario del transformador no se dañen. Hay dos tipos de transformadores.

Transformador de corriente (CT)
Transformador de tensión (PT)
El transformador de corriente y el transformador de potencial se describirán en detalle a continuación.

Transformador de corriente.

Los transformadores de corriente se utilizan para medición y protección. Cuando la corriente en el circuito es alta para ser aplicada directamente al instrumento de medición, se usará un transformador de corriente para convertir la corriente alta en el valor deseado de la corriente requerida en el circuito.

El devanado primario del transformador de corriente está conectado en serie a la fuente de alimentación principal y a varios instrumentos de medición, como un amperímetro, voltímetro, medidor de potencia o bobina de relé de protección. Tienen una relación de corriente y una relación de fase precisas para que el medidor esté ubicado con precisión en el lado secundario. El término ratio es muy importante en la TC.

Por ejemplo, si la relación es 2000: 5, significa que cuando la corriente de entrada en el lado primario es de 2000 amperios, la salida del CT es de 5 amperios. La precisión del transformador de corriente depende de muchos factores, como carga, carga, temperatura, cambio de fase, clasificación, saturación, etc.
En un transformador de corriente, la corriente primaria total es la suma vectorial de la corriente de excitación y la corriente, que es igual al reverso de la corriente secundaria multiplicada por la relación de rotación.

Transformador potencial.

Los transformadores de voltaje también se llaman transformadores de voltaje. El devanado primario está conectado por una línea de alto voltaje donde se debe medir el voltaje, y todos los instrumentos de medición y medidores están conectados al lado secundario del transformador.

La función principal del transformador de voltaje es reducir el nivel de voltaje a un límite seguro o valor seguro. El devanado primario del transformador de voltaje está conectado a tierra como un punto de seguridad.

Transformador monofásico.

Un transformador monofásico es un dispositivo estático que funciona de acuerdo con el principio de la ley de inductancia mutua de Faraday. A niveles de frecuencia constante y niveles de voltaje variables, los transformadores transfieren corriente alterna de un circuito a otro. Hay dos tipos de bobinados en un transformador. El devanado que suministra energía de CA se llama devanado primario y la carga está conectada al devanado secundario.

Transformador trifásico.

Si se quitan tres transformadores monofásicos y sus tres devanados primarios están conectados entre sí, y los tres devanados secundarios están conectados entre sí para formar un devanado secundario, el transformador es equivalente a un transformador trifásico. Representa un grupo de tres transformadores monofásicos conectados entre sí, que actúan como transformadores trifásicos.

Las fuentes de alimentación trifásicas se utilizan principalmente para la generación, transmisión y distribución de energía eléctrica para fines industriales. Ensamblar tres transformadores monofásicos para formar un transformador trifásico es más barato que comprar un solo transformador trifásico. La conexión del transformador trifásico puede adoptar tipos de estrella (estrella) y delta (red).

La conexión del devanado primario y el devanado secundario se puede lograr a través de varias combinaciones. La combinación de devanado primario y devanado secundario se completa en estrella, estrella-triángulo, estrella-triángulo y triángulo estrella.

Popular Posts

Problemas resueltos electronica digital 19 al 27

Problemas resueltos electronica digital 10 al 18

Mecanismos de transmision: piñon, cremallera, tornillo sin fin, ruedas dentadas, ruedas de friccion