Problema de electrónica circuito con diodos
En el circuito de la figura determine el valor de las corrientes y tensiones en las dos resistencias del circuito. Suponga diodos ideales.
Solución:
En un circuito como el de la figura es difícil hacer suposiciones a priori de cómo circularán las corrientes puesto que todo depende del valor de la tensión en el punto A (caída de tensión en la resistencia R2). Si por ejemplo esta tensión es mayor de 3V el diodo D2 no conducirá. Se estudian cada una de las posibles soluciones.
La figura 2 muestra el circuito equivalente en el caso de que D1 no conduzca (OFF) y D2 sí (ON).
Este supuesto es imposible puesto que como se observa la tensión del punto A sería de 3V, y entonces el diodo D1 estaría polarizado en directa, en contra de la suposición inicial.
La figura 3 muestra el circuito equivalente en el caso de que ningún diodo conduzca:
Este supuesto tampoco es válido porque es este caso la tensión en A es cero al no haber caída de tensión en la resistencia R2 (corriente que la atraviesa cero), y ambos diodos estarían polarizados en directa, en contra otra vez del supuesto inicial.
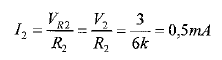
Ahora la figura 4 muestra el circuito equivalente en el caso de que conduzcan ambos diodos:
En este supuesto, la caída de tensión en R2 es constante (en paralelo con una fuente de tensión), y por lo tanto la corriente que la atraviesa también lo es y de valor conocido:
Sin embargo la corriente que circula por R1 también es conocida de valor:
y como:
Lo que supone que la comente I3 circula de cátodo a ánodo en el diodo D1. Por lo tanto la suposición es incorrecta.
Por último, sólo queda el supuesto que D1 esté ON y D2 OFF.
En este caso el valor de la tensión en el punto A viene dada por un divisor de tensión:
Supuesto válido, porque con esa tensión en el punto A, el diodo D2 está OFF (polarización inversa del diodo).








